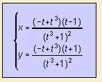
infinite quadrifolium

higher

last updated: 2004-12-04

This curve was sent to me by Roger Bagula.

The curve can be seen as a variation on the quadrifolium.